pec-SCR : SCR Rectifier

A PEC-SCR thyristor rectifier is a laboratory converter designed to transform alternating current (AC) into direct current (DC) while providing precise control over the output voltage or current. By utilizing thyristors, it is possible to adjust the firing angle (α) to regulate the amount of power delivered to the load. This makes it particularly suitable for applications requiring variable power supply, such as controlling DC motors or powering specific loads.
Available in single-phase or three-phase configurations, these rectifiers stand out for their high efficiency and flexibility. However, they can generate harmonics in the network, which may require correction using appropriate filters.
Features
Input Voltage: 380 V
Maximum Output Current: 20 A
Digital Control Signals: [3.3 V, 15 V]
Analog Control Signal: 0-10 V
Current Sensors: 1 Output Sensor (0.5 A/V)
Voltage Sensors: 1 Sensor for Udc (100 V/V)
Applications
DC Motor Drive Testing and Control
Power Electronics and Renewable Energy Research
Converter Testing
Solar PV Emulation
Training and demonstration of Thyristor Behavior
Battery Charging and Testing
High-Current DC Applications
Harmonics and Power Quality Studies
Load Simulations and Testing
pec-CSR : PWM RECTIFiER


The PWM rectifier based is a bidirectional converter designed to generate a filtered and regulated DC voltage that exceeds the peaks of the input AC voltages. Capable of injecting or absorbing sinusoidal currents into the grid with a unity power factor, it offers great versatility and can function as a bidirectional power rectifier, active filter, or static reactive power compensator (STATCOM).
The PEC-CSR, equipped with IGBTs or MOSFET SIC as power components, includes all the features necessary for advanced applications, such as driving electrical machines or renewable energy systems. It incorporates a control signal conditioning unit, current and voltage measurement devices, protection units, and input inductances. This converter provides a comprehensive and reliable solution for demanding environments and test benches.
The IGBT version is ideal for cost-effective solutions with moderate switching frequencies, while the SiC version offers optimized thermal performance and higher power density for more demanding applications.
Features
Maximum Input Voltage: 400VAC
Maximum Output Voltage: 800VDC
Maximum Current: 20A
Maximum Switching Frequency: 20 kHz for IGBT, 200 kHz for SiC
Inductance: 5 mH / 10A for IGBT, 1 mH / 30A for SiC
Udc Capacitor: 1000 µF
DB37 Input for MLI Signals: Compatible with control units CU-SLRT, CU-LVRT, CU-DSP, CU-ARM, CU-FPGA, CU-SOC, and dSPACE (no TTL/CMOS isolation interface required).
DB37 Output for MLI Signals: Not used, intended for potential needs in controlling other converters.
Enhanced Protection: Against short-circuit, overvoltage, and overheating
Current Sensors: 3 Hall-effect sensors, 25A.
Voltage Sensors: 3 sensors, 600V.
Measurement Output: -10V / +10V (compatible with CU-SLRT, DS1104, etc.)
Enclosure: 4U Rack Mountable
Optical Fiber (Option): Compatible with CU-SLRT pro+ for control and measurements.
Internal control (Option): DSP based regulation.
Applications
Studies of Single-Phase AC/DC Converters
Studies of Three-Phase AC/DC Converters
Active Filter
STATCOM (Static Synchronous Compensator)
Control of Alternating Current Machines
Control of Regulated Direct Current Machines
Servo Control
Renewable Energy
Smart Grid
EV Charger
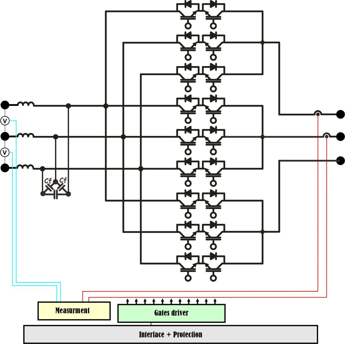
pec-VRC : VIENNA RECTIFIER


Features
Applications
pec-UDC : unidirectionnAl DC/DC Converter


The PEC-UDC laboratory DC/DC converter is a versatile research tool designed with two independent topologies: a series chopper (Buck) and a parallel chopper (Boost). This configuration offers flexibility to address a wide range of energy conversion needs in research and development environments.
Step-down Chopper (Buck): This topology is dedicated to step-down voltage conversion. It reduces the input voltage to supply a load with a lower voltage while maintaining high efficiency. Ideal for applications requiring precise output voltage control, the Buck converter is suited for powering devices sensitive to specific voltage levels.
Step-up Chopper (Boost): This section is responsible for step-up voltage conversion. It increases the input voltage to meet the demands of applications requiring a voltage higher than that provided by the source. The Boost converter is particularly useful for transferring energy to high-voltage loads or batteries.
With the independent operation of both topologies, the PEC-UDC allows in-depth exploration of control strategies for each configuration, making it an ideal solution for power electronics research.
The PEC-UDC is available in IGBT versions for cost-effective solutions and SiC versions for advanced performance, offering higher power density, faster switching frequencies, and optimized thermal management.
Features
Applications:
pec-BDC : BidirectionnAl DC/DC converter


The PEC-BDC bidirectional DC/DC converter is an advanced laboratory tool designed with two independent topologies: a two-quadrant reversible chopper and a four-quadrant reversible chopper. This architecture ensures optimal flexibility and versatility for research and development in power electronics and advanced energy systems.
Two-Quadrant Reversible Chopper: This chopper is designed to allow bidirectional energy flow while controlling either voltage or current in two quadrants (quadrants I and II). It is ideal for applications such as energy storage, where energy can be transferred to and from a source or load while maintaining precise control over polarity and intensity.
Four-Quadrant Reversible Chopper: This chopper provides full bidirectional control of voltage and current in all four quadrants (quadrants I, II, III, and IV). It enables complete energy management, including polarity and current reversal, making it suitable for demanding applications such as DC motors, regenerative braking systems, and bidirectional power distribution networks.
With the independence of both topologies, the PEC-BDC enables in-depth study of control strategies and dynamic behavior under various operating conditions.
The PEC-BDC is available in IGBT versions for reliable and cost-effective solutions, as well as SiC versions for superior performance, offering high power density, fast switching frequencies, and advanced thermal management.
Features
Features
pec-BBDC : BUCK/Boost DC/DC Converter


The PEC-BBDC laboratory DC/DC converter is a cutting-edge tool designed for research and development, featuring two independent topologies: a reversible BUCK/Boost chopper and an inverting BUCK/Boost chopper. This configuration provides exceptional versatility for advanced energy conversion applications, allowing researchers to explore a wide range of operational scenarios.
Reversible BUCK/Boost Chopper: This topology combines step-up and step-down voltage conversion capabilities with bidirectional energy flow. It is ideal for applications where precise control of voltage and current is required in systems involving energy storage or bidirectional power transfer, such as batteries or renewable energy sources.
Inverting BUCK/Boost Chopper: This topology enables both step-up and step-down voltage conversion while inverting the polarity of the output voltage relative to the input. It is particularly useful for applications requiring negative voltage supplies or systems where polarity inversion is essential, such as specialized power supplies and industrial control systems.
The PEC-BBDC is available in IGBT versions for cost-effective operation at moderate switching frequencies and in SiC versions for high-performance needs, offering greater power density, faster switching, and superior thermal efficiency.
Features
Applications
pec-LLC : LLC DC/DC converter


The PEC-LLC resonant DC/DC converter is an advanced solution designed for research laboratories and demanding industrial applications. Featuring an LLC (Inductor-Inductor-Capacitor) resonant topology, it delivers highly efficient energy conversion with reduced losses and high power density. Available in both IGBT and SiC versions, the PEC-LLC combines reliability and performance: the IGBT version is ideal for moderate switching frequency applications, while the SiC version leverages silicon carbide technology for higher switching frequencies and optimal energy efficiency. Engineered to provide precise control, real-time monitoring, and integrated protection, this converter is perfectly suited for isolated power supplies, battery chargers, and energy storage systems.
Features
Applications
Dc motor drive
Renewable Energy Systems
Energy Harvesting Systems
Electric Vehicle (EV) and Hybrid Systems
Battery Management and Charging Systems
Power Quality Improvement
Smart Grid and Power Distribution
Inductive Power Transfer and Wireless Charging
High-Efficiency Power Supplies
Electrical Grids and Microgrids.
pec-CLLC: CLLC DC/DC converter


The PEC-CLLC Resonant DC/DC Converter is a cutting-edge solution designed for applications demanding high energy efficiency and reliability. Featuring a CLLC (Capacitor-Inductor-Inductor-Capacitor) resonant topology, this converter enables bidirectional energy conversion, optimized for energy storage systems, isolated power supplies, and high-power-density applications.
Available in both IGBT and SiC versions, the PEC-CLLC combines high performance, optimized thermal management, and low harmonic distortion, making it an ideal choice for research laboratories and advanced industrial environments.
Features
Applications
pec-DAB : DAB BidirectionnAl DC/DC converter


The Bidirectional DC/DC Dual Active Bridge (DAB) Converter is a high-performance solution designed for research laboratories. It facilitates efficient bidirectional energy transfer between two DC voltage levels, making it ideal for applications such as energy storage systems, electric vehicles, and renewable energy integration.
The converter PEC-DAB is available in two versions:
IGBT Version: Designed for cost-effective solutions with reliable performance in medium switching frequency applications.
SiC Version: Leveraging silicon carbide technology for superior efficiency, higher switching frequencies, and enhanced thermal performance, suitable for high-power density and advanced research needs.
Both versions are equipped with comprehensive features, including robust power components, precise control units, real-time monitoring, and protection mechanisms, ensuring safe and optimal operation in diverse experimental setups.
Features
Applications
pec-CSDC : SOLAR DC/DC converter


The PEC-CSDC solar DC/DC converter, integrating independent interleaved boost and push-pull topologies, is an ideal energy conversion solution for solar applications, where each topology operates completely independently to meet specific needs. This type of converter offers great flexibility and enhanced efficiency, while providing distinct advantages for various aspects of the solar energy system.
Interleaved Boost Section: This section is dedicated to stepping up the voltage from the solar panels, reducing current ripple, and improving the overall system efficiency. Thanks to its interleaved architecture, it allows load sharing between multiple converters, which reduces the stress on each component, optimizing system reliability and longevity.
Push-Pull Section: This section ensures galvanic isolation and bidirectional conversion, making it ideal for solar applications where energy needs to be transferred between panels, batteries, or the grid. It ensures safe separation between the different parts of the system, particularly between the renewable energy source and storage or distribution devices.
Each section operates independently, enabling optimal control and performance based on the specific requirements of the application. This converter is especially suitable for large-scale solar systems, such as photovoltaic inverters, energy storage systems (like solar batteries), and energy management systems, ensuring effective isolation and optimal thermal management.
The IGBT version is ideal for cost-effective solutions with moderate switching frequencies, while the SiC version offers optimized thermal performance and higher power density for more demanding applications.
Features
Applications
pec-VSI1 : 2 Level voltage source inverter


The PEC-VSI1 is a 2-level voltage source inverter (VSI) designed for a wide range of energy conversion applications requiring reliable and efficient power management. Its simple and robust 2-level topology ensures fast switching performance, making it ideal for systems that demand straightforward design and control.
This inverter is particularly suitable for applications such as motor drives, renewable energy systems, industrial power supplies, and basic smart grid setups. It provides high power conversion efficiency with reduced system complexity, making it an economical choice for many applications.
Available in IGBT versions for cost-effective solutions and SiC versions for advanced thermal and dynamic performance, the PEC-VSI1 is a versatile and reliable choice for research, development, and practical energy systems.
Features
Applicatios
Renewable Energy Integration
High-Power Motor Drives
HVDC (High Voltage Direct Current) Systems
Smart Grids and Microgrids
Energy Storage Systems (ESS)
Electric and Hybrid Electric Vehicles (EV/HEV)
Power Quality Improvement
pec-VSI2 : MultifUnctions Converter


The PEC-VSI2 is a versatile multifunction converter that integrates a three-phase rectifier, a two-level three-phase voltage source inverter (VSI), and a chopper, making it an all-in-one solution for advanced energy conversion and management applications. This modular design allows the PEC-VSI2 to perform multiple roles, offering flexibility and efficiency in a compact system.
Available in both IGBT and SiC versions, the PEC-VSI2 offers a choice between cost-effective solutions and high-performance designs with superior thermal and switching characteristics. This makes it a reliable and adaptable converter for research, development, and real-world energy systems.
Features
Maximum Input Voltage: 800V DC
DB37 Input for MLI Signals: Compatible with control units CU-SLRT, CU-LVRT, CU-DSP, CU-ARM, CU-FPGA, CU-SOC, and dSPACE (no TTL/CMOS isolation interface required).
Applications
Renewable Energy Integration
High-Power Motor Drives
HVDC (High Voltage Direct Current) Systems
Smart Grids and Microgrids
Energy Storage Systems (ESS)
Electric and Hybrid Electric Vehicles (EV/HEV)
Power Quality Improvement
pec-9SW : nine switch converter


The PEC-9SW is a versatile nine-switch converter designed for advanced power conversion applications. It integrates both the functionality of a rectifier and an inverter within a single system, making it an ideal solution for applications that require bidirectional power flow and high efficiency. This topology offers significant advantages in reducing component count, improving system reliability, and minimizing space requirements.
Available in both IGBT and SiC versions, the PEC-9SW offers a balance between cost-effective solutions and high-performance designs with advanced thermal and dynamic capabilities. This makes it a reliable and adaptable converter for a wide range of research, development, and commercial energy systems.
Features
Maximum Input Voltage: 600V DC
Features
pec-3LD : 3 LEVEL NPC voltage source inverter


The PEC-3LD is a 3-level Neutral Point Clamped (NPC) voltage source inverter (VSI) designed for advanced power conversion applications. Its 3-level NPC topology enhances power quality by reducing harmonic distortion and ensuring balanced voltage levels across components, resulting in improved efficiency and reduced stress on power devices. This makes the PEC-3LD an ideal choice for systems requiring high-performance, stable, and clean output voltage.
The inverter is well-suited for applications such as motor drives, renewable energy integration, industrial power supplies, and smart grid technologies. By offering both IGBT versions for cost-efficient solutions and SiC versions for superior thermal and switching performance, the PEC-3LD delivers a reliable, high-quality solution for demanding energy systems while ensuring optimal power management and system reliability.
Features
Applications
pec-3LT : T type 3 level voltage source inverter


The PEC-3LT is a T-type 3-level voltage source inverter (VSI) designed for advanced energy conversion applications. With its 3-level structure, it enhances power quality by reducing harmonic distortion and minimizing stress on components, making it an ideal solution for systems requiring clean and stable output voltage. The T-type topology optimizes efficiency by reducing switching losses and improving overall system reliability. Versatile and high-performing, the PEC-3LT is particularly suited for applications such as motor drives, renewable energy systems, industrial power supplies, and smart grids. Available in IGBT versions for cost-effective solutions and SiC versions for superior thermal and dynamic performance, it provides a robust and flexible response to the growing demand for energy efficiency and power quality.
Features
Capacitor: 1000 µF
Application
pec-5LD : NPC 5 level volatge source inverter


The PEC-5LD is a 5-level Neutral Point Clamped (NPC) voltage source inverter (VSI) designed for advanced energy conversion applications that demand exceptional power quality. With its 5-level topology, this inverter significantly reduces harmonic distortion and switching losses while efficiently managing intermediate voltage levels. This architecture enhances overall efficiency, minimizes stress on components, and increases system reliability.
The PEC-5LD is particularly well-suited for demanding applications such as high-power motor drives, large-scale renewable energy integration, sensitive industrial power supplies, and smart grid infrastructures. By offering IGBT versions for cost-effective solutions and SiC versions for superior thermal and dynamic performance, the PEC-5LD meets the needs of modern energy systems, delivering flexibility, robustness, and energy efficiency.
Features
DB37 Output for MLI Signals: Not used, intended for potential needs in controlling other converters.
Applications
pec-MMc : MMC converter


The PEC-MMC is a Modular Multilevel Converter (MMC) designed for advanced energy conversion and management applications. With its modular topology, it provides excellent flexibility, outstanding power quality, and optimal energy efficiency. The PEC-MMC is ideal for systems requiring high voltages, low harmonic distortion, and robust performance.
Available in both IGBT and SiC versions, the PEC-MMC offers a choice between cost-effective solutions and advanced thermal and dynamic performance, ensuring reliability and adaptability for cutting-edge applications.
Features
Maximum Input Voltage: 400VAC
Maximum DC bus Voltage: 800VDC
Maximum Output Voltage: 400AC
Maximum Current: 20A
Maximum Switching Frequency: 20 kHz for IGBT, 200 kHz for SiC
Inductance: 5 mH / 10A for IGBT, 1 mH / 30A for SiC
Udc Capacitor: 1000 µF
DB37 Input for MLI Signals: Compatible with control units CU-SLRT, CU-LVRT, CU-DSP, CU-ARM, CU-FPGA, CU-SOC, and dSPACE (no TTL/CMOS isolation interface required).
DB37 Output for MLI Signals: Not used, intended for potential needs in controlling other converters.
Enhanced Protection: Against short-circuit, overvoltage, and overheating
Current Sensors: 5 Hall-effect sensors, 25A.
Voltage Sensors: 3 sensors, 600V.
Measurement Output: -10V / +10V (compatible with CU-SLRT, DS1104, etc.)
Enclosure: 4U Rack Mountable
Optical Fiber (Option): Compatible with CU-SLRT pro+ for control and measurements.
Internal control (Option): DSP based regulation.
Applications
Applications
pec-PUC : PUC converter



The PEC-PUC is a Packed U-Cell (PUC) converter, designed to deliver high-performance power conversion for a wide range of applications. With its unique topology, the PUC converter reduces the number of components compared to traditional multilevel converters while maintaining excellent power quality and efficiency. This makes it a compact and cost-effective solution for advanced energy systems.
The PEC-PUC is available in IGBT and SiC versions, providing a choice between cost-effective designs and high-performance options with superior thermal and dynamic characteristics. This converter is well-suited for research, development, and real-world applications requiring reliable and compact energy conversion solutions.
Features
Applications
pec-CYC: CYcloconverter


The PEC-CYC is a high-performance cycloconverter designed for efficient AC-to-AC power conversion. It directly converts an input AC voltage of one frequency to an output AC voltage of a different frequency without the need for intermediate DC conversion. This converter is particularly useful in applications where frequency conversion is required, such as in motor drives, power systems, and industrial applications.
Features
Applications
pec-BBC: BACK to BACK Converter


The PEC-CYC is a high-performance cycloconverter designed for efficient AC-to-AC power conversion. It directly converts an input AC voltage of one frequency to an output AC voltage of a different frequency without the need for intermediate DC conversion. This converter is particularly useful in applications where frequency conversion is required, such as in motor drives, power systems, and industrial applications.
Features
Applications
pec-DMC : direct matrix converter



The PEC-DMC is a direct matrix converter (DMC) designed for efficient and compact AC-to-AC power conversion without the need for an intermediate DC link. With its innovative topology, it directly converts input AC voltage to output AC voltage while providing precise control over amplitude, frequency, and phase. This makes it an ideal solution for applications requiring fast and reliable energy conversion.
The PEC-DMC is available in IGBT and SiC versions, offering a choice between cost-effective solutions and high-performance options suited for demanding applications requiring advanced thermal management and high-speed switching.
Features
Maximum Input Voltage: 400VAC
Maximum Output Voltage: 340VAC
Maximum Current: 20A
Maximum Switching Frequency: 20 kHz for IGBT, 200 kHz for SiC
Filter Inductance: 5 mH / 10A for IGBT, 1 mH / 30A for SiC
Filter Capacitor: 10 µF
DB37 Input for MLI Signals: Compatible with control units CU-SLRT, CU-LVRT, CU-DSP, CU-ARM, CU-FPGA, CU-SOC, and dSPACE (no TTL/CMOS isolation interface required).
DB37 Output for MLI Signals: Not used, intended for potential needs in controlling other converters.
Enhanced Protection: Against short-circuit, overvoltage, and overheating
Current Sensors: 2 Hall-effect sensors, 25A.
Voltage Sensors: 2 sensors, 600V.
Measurement Output: -10V / +10V (compatible with CU-SLRT, DS1104, etc.)
Enclosure: 4U Rack Mountable
Optical Fiber Option: Compatible with CU-SLRT pro+ for control and measurements.
Applications
Motor Control (induction motors, synchronous motors, and PMSMs.)
Renewable Energy Integration (wind turbines and wave energy systems).
Power Quality (power factor correction and harmonic compensation).
Electric Vehicle and Traction Systems
Microgrid and Smart Grid
Aerospace and High-Frequency Applications
Energy Harvesting Systems
HVAC Systems
Uninterruptible Power Supplies (UPS)
pec-IMC : INdirect matrix converter



The PEC-IMC is an Indirect Matrix Converter (IMC) designed for efficient AC-to-AC conversion with an intermediate DC link. Unlike conventional systems, the DC link is not energy-stored but provides a decoupling stage to improve power control flexibility and efficiency. The PEC-IMC is ideal for applications requiring robust performance, compact design, and precise control of frequency and voltage.
The PEC-IMC is available in IGBT and SiC versions, offering cost-effective and high-performance solutions tailored to advanced power conversion needs.
Features
Applications
pec-sIMC : sparse INdirect matrix converter


The PEC-SIMC is a Sparse Indirect Matrix Converter optimized for reduced complexity and component count. By utilizing fewer switches and achieving high-efficiency AC-to-AC conversion, the PEC-SIMC provides a compact and cost-efficient solution for industrial motor drives, renewable energy systems, and smart grids.
Available in IGBT and SiC versions, the PEC-SIMC ensures high reliability and adaptability for both research and industrial applications.
Features
Applications
pec-vsMC : very SPARCE INdirect matrix converter


The PEC-VSMC is a Very Sparse Matrix Converter with a simplified topology that minimizes the number of active components while maintaining high-performance power conversion. This lightweight design is perfect for applications where space, cost, and efficiency are critical.
Both IGBT and SiC versions of the PEC-VSMC are available, offering options for a broad range of power and frequency needs.
Features
Applications
pec-usMC: ultra sparce INdirect matrix converter


The PEC-USMC is an Ultra Sparse Matrix Converter, representing the ultimate reduction in switch count while preserving the ability to perform AC-to-AC conversion with high efficiency and low harmonic distortion. Its ultra-compact design makes it suitable for cutting-edge applications, such as aerospace systems, advanced motor drives, and portable energy devices.
The PEC-USMC is available in IGBT and SiC versions, balancing economic feasibility with high-performance demands.
Features
Applications
Motor Control (induction motors, synchronous motors, and PMSMs.)
Renewable Energy Integration (wind turbines and wave energy systems).
Power Quality (power factor correction and harmonic compensation).
Electric Vehicle and Traction Systems
Microgrid and Smart Grid
Aerospace and High-Frequency Applications
Energy Harvesting Systems
HVAC Systems
Uninterruptible Power Supplies (UPS)

V/F motor control for SEMIKRON Inverter:
VSI-VFC is digital control system based on high performance microcontroller to test SEMIKRON Inverter by the generation of the required inverter IGBTs gate pulses.
The constant V/Hz control for AC Induction motor and PWM technique are used.
Features
PWM Inputs: Internel: μC generation.
PWM Outputs : 06 Output : +15V.
Control: V/F AC motor control.
Inverter Power: 15V, 2A
power: AC 220V.
Chopper Control: No
Dimension: 210x140x50 mm
Weight: 0.4 kg





Interface for DS1104 to SEMIKRON Inverter:
The VSI-MC3 is a interface board allows the user to convert the control signals to SEMIKRON Inverter. This board is compatible with CU-SLRT (Simulink real time), all CU-MCU boards (ARM, DSP, FPGA..) and dSPACE boards (DS1104, DS1103...) .
Interface for DS1104 to SEMIKRON Inverter:
The VSI-MC3 is a interface board allows the user to convert the control signals to SEMIKRON Inverter. This board is compatible with CU-SLRT (Simulink real time), all CU-MCU boards (ARM, DSP, FPGA..) and dSPACE boards (DS1104, DS1103...) .

Interface for DS1104 to dual SEMIKRON Inverter:
The VSI-MC6 is an interface board that allows the user to convert the control signals to dual SEMIKRON Inverters.
This board is compatible with CU-SLRT (Simulink real time), all CU-MCU boards (ARM, DSP, FPGA..) and dSPACE boards (DS1104, DS1103...) .
The VSI-MC6 is ideal for multiphase motor control and
bidirectional indirect AC/AC back-to-back converter.
Features
PWM Inputs : CU-SLRT, CU Motor control units
(DSP,ARM,FPGA,PC..), dSPACE.
PWM Outputs :12 Output : +15V (SEMIKRON Inverter).
Control: Externel.
Inverter Power :2 Output 15V, 2A
power: AC 220V.
Chopper Control :No
Dimension : 210x140x50 mm
Weight : 0.4 kg

Interface for DS1104 to three phase output PV system based on SEMIKRON Inverter:
The VSI-PV3 is a interface board allows the user to convert the control signals to three-phase SEMIKRON Inverter with boost chopper for three-phase solar systems application. This board is compatible with CU-SLRT (Simulink real time), all CU MCU boards (ARM,DSP, FPGA..) and dSPACE boards (DS1104, DS1103...)
Features
PWM Inputs : CU-SLRT, CU Motor control units
(DSP,ARM,FPGA,PC..), dSPACE.
PWM Outputs : 07 Output : +15V (SEMIKRON Inverter).
Control : External.
Inverter Power: 15V, 2A
power : AC 220V.
Chopper Control : Yes
Dimension :210x140x50 mm
Weight :0.4 kg

Interface pour DS1104 vers un système PV monophasé basé sur l'onduleur SEMIKRON. :
The VSI-PV1 is a interface board allows the user to convert the control signals to SEMIKRON Inverter to generate a complete single-phase photovoltaic system with boost chopper, battery charger and single phase inverter.
This board is compatible with CU-SLRT (Simulink real time), all CU MCU boards (ARM, DSP, FPGA..) and dSPACE boards (DS1104, DS1103...) ..
Features
PWM Inputs: CU-SLRT, CU Motor control units
(DSP,ARM,FPGA,PC..), dSPACE.
PWM Outputs :07 Output : +15V (SEMIKRON Inverter).
Control: External.
Inverter Power : 15V, 2A
power :AC 220V.
Chopper Control :Yes
Dimension :210x140x50 mm
Weight: 0.4 kg
